chem modelsofbondingandstructure
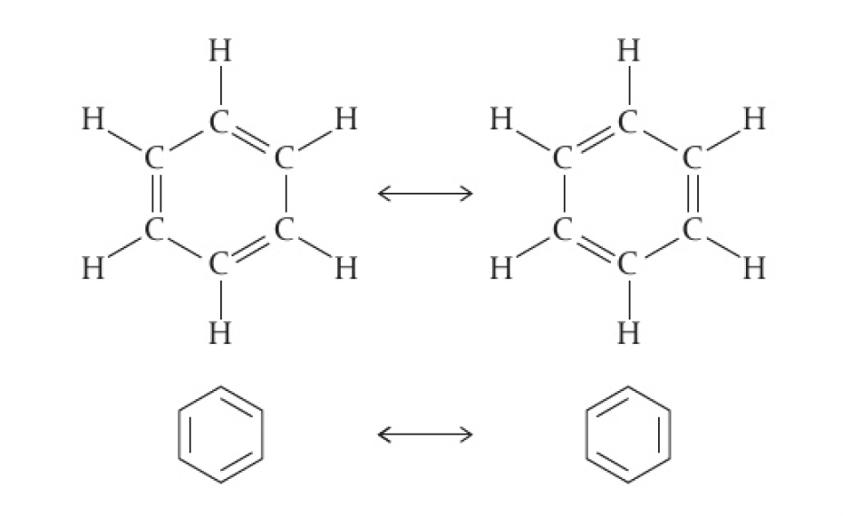
Structure 2.2.12 - benzene, , is an important example of a molecule that has resonance
- 6 carbon atoms in a hexagonal ring
- triangular planar arrangement with 120
bond angles


the circle in the middle represents delocalised electrons, which are spread equally through the ring
evidence for the accepted structure of benzene
benzene’s structure can be explained through a combination of physical and chemical properties

